TipSkill药学博客

探索药学的奇迹

ISO 14644.1洁净室及相关受控环境国际标准中文版附录C  

分类: GMP 时间:2010-05-11 13:02:08 浏览:2926次 评论:0
摘要:附录C (标准部分) 粒子浓度数据的统计处理 C.1 通则 统计分析只考虑随机误差(缺乏精度),不考虑非随机误差(如,与误差标定有关的偏差)。 C.2 计算某一采样点(Xi)的平均粒子浓度的算法 当在一个采样点进行多次采样时,应该用公式(C.1)来确定该点的平均粒子浓度。平均粒子浓度的计算应该在采样次数为2次以上的各个采样点进行。 (C.1) 式中, Xi ——采样点i(代表任何位置)的平均粒子浓度 Xi.1 ——每次采样的粒子浓度 n ——在采样点i的采样次数[separator] C.3 计算95%置信上限的算法 C.3.1 通则 本方法只适用于采样点为1个以上,10个以下的情况。在这种情况下,应该使用公式(C.1)的算法和本方法。 C.3.2 平均值( )的总均值() 用公式(C.2)确定平均值的总(综合)平均值 (C.2) 式中, ——采样点平均值的总均值 至 ——用公式(C.1)得出的各个采样点的平均值 m——采样点的总数 无论任何一个给定的采样点的样品数是多少,所胡单个采样点的平均值都等量加权。 C.3.3 采样点平均值的标准偏差(S) 用公式(C.3)确定采样点平均值的标准偏差。    (C.3) 式中, S ——采样点平均值的标准偏差 C.3.4 总均值的95%置信上限(UCL) 用公式(C.3)确定总均值的95%置信上限       (C.4) 式中, t0.95——表示具有m-1的自由度分布的95%分布(分布点)。 表C.1中给出了95%置信上限(UCL)的研究t分布系数(t0.95)。另外,统计计算机程序中的学生t分布也是合格的。 表C.1 95%置信上限(UCL)的研究t的分布系数 各个平均值的采样点数 (m) 2 3 4 5 6 7-9 t 6.3 2.9 2.4 2.1 2.0 1.9   《ISO 14...
关键字: ISO 14644.1

附录C
(标准部分)

粒子浓度数据的统计处理

C.1 通则
统计分析只考虑随机误差(缺乏精度),不考虑非随机误差(如,与误差标定有关的偏差)。
C.2 计算某一采样点(Xi)的平均粒子浓度的算法
当在一个采样点进行多次采样时,应该用公式(C.1)来确定该点的平均粒子浓度。平均粒子浓度的计算应该在采样次数为2次以上的各个采样点进行。
(C.1)
式中,
Xi ——采样点i(代表任何位置)的平均粒子浓度
Xi.1 ——每次采样的粒子浓度
n ——在采样点i的采样次数[separator]
C.3 计算95%置信上限的算法
C.3.1 通则
本方法只适用于采样点为1个以上,10个以下的情况。在这种情况下,应该使用公式(C.1)的算法和本方法。
C.3.2 平均值( )的总均值(
用公式(C.2)确定平均值的总(综合)平均值
(C.2)
式中,
——采样点平均值的总均值
——用公式(C.1)得出的各个采样点的平均值
m——采样点的总数
无论任何一个给定的采样点的样品数是多少,所胡单个采样点的平均值都等量加权。
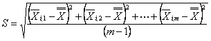
C.3.3 采样点平均值的标准偏差(S)
用公式(C.3)确定采样点平均值的标准偏差。
   (C.3)

式中,
S ——采样点平均值的标准偏差
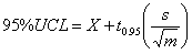
C.3.4 总均值的95%置信上限(UCL)
用公式(C.3)确定总均值的95%置信上限
      (C.4)
式中,
t0.95——表示具有m-1的自由度分布的95%分布(分布点)。
表C.1中给出了95%置信上限(UCL)的研究t分布系数(t0.95)。另外,统计计算机程序中的学生t分布也是合格的。

表C.1 95%置信上限(UCL)的研究t的分布系数

各个平均值的采样点数 (m) 2 3 4 5 6 7-9
t 6.3 2.9 2.4 2.1 2.0 1.9



  《ISO 14644.1洁净室及相关受控环境国际标准》章节导航
  

  ISO 14644.1洁净室及相关受控环境国际标准中文版正文(一)

  ISO 14644.1洁净室及相关受控环境国际标准中文版正文(二)
 
  ISO 14644.1洁净室及相关受控环境国际标准中文版附录A
 
  ISO 14644.1洁净室及相关受控环境国际标准中文版附录B
 
  ISO 14644.1洁净室及相关受控环境国际标准中文版附录C

  ISO 14644.1洁净室及相关受控环境国际标准中文版附录D

  ISO 14644.1洁净室及相关受控环境国际标准中文版附录E

  ISO 14644.1洁净室及相关受控环境国际标准中文版附录F




评论留言请发表您的神机妙论……

昵称

邮箱

地址

私密评论
评论列表(共有0条评论)
sitemap